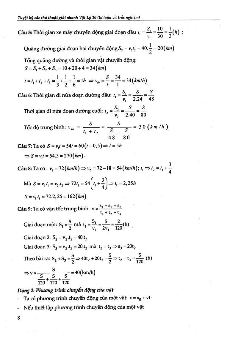
✨Vật Lý 10 - Tuyệt Kỹ Các Thủ Thuật Giải Nhanh Tự Luận - Trắc Nghiệm


















Tuyệt Kỹ Các Thủ Thuật Giải Nhanh Vật Lý 10 Sách tham khảo là bạn đồng hành không thể thiếu đối với các em học sinh. Đặc biệt là các em cuối cấp.Để giúp các em trong việc lựa chọn tập hợp các kiến thức và kỹ năng cần thiết cho kỳ thi quốc gia, tôi biên soạn cuốn sách: “TUYỆT KỸ CÁC THỦ THỦ THUẬT GIẢI NHANH VẬT LÝ 10 (Tự luận và trắc nghiệm)” Tôi hi vọng cuốn sách này là tài liệu bổ ích giúp cho các em ôn thi hiệu quả nhất trong kỳ thi quan trọng sắp tới Sách soạn theo chuyên đề:
- Tóm tắt lý thuyết và phương pháp giải
- Các dạng bài và hướng dẫn giải chi tiết
- Ôn luyện và hướng dẫn giải toàn chương




sách - luyện thi cấp tốc môn tiếng anh (dùng chung các bộ sgk hiện hành) Cuốn sách bao gồm các chuyên đề :Ngữ pháp, Từ vựng, Ngữ âm, Kĩ năng giao tiếp, Kĩ năng
Nhằm giúp giáo viên có thêm tài liệu tham khảo trong việc bồi dưỡng, rèn luyện năng khiếu cho học sinh giỏi và giúp các em học sinh có tài liệu tự nâng cao kiến
Tuyệt Kỹ Các Thủ Thuật Giải Nhanh Vật Lý 10 Sách tham khảo là bạn đồng hành không thể thiếu đối với các em học sinh. Đặc biệt là các em cuối cấp.Để giúp các
Cuốn sách “500+ bài tập Hoá học 10: Kiến thức và kĩ năng mấu chốt" bám sát Chương trình Giáo dục phổ thông 2018, nhằm giúp các em tổng kết, hiểu sâu lí thuyết và
ách - Những bài văn đạt giải học sinh giỏi cấp tỉnh - thành phố - toàn quốc (dành cho học sinh thpt) - HA Các em học sinh thân mến! Cuốn sách Những bài
Đây là cuốn sách được biên soạn theo tinh thần thi mới của Bộ Giáo dục và Đào tạo, theo cấu trúc đề thi 3 phần: Kiểm tra kiến thức (câu 1); Nghị luận xã
Sách - Bồi dưỡng học sinh giỏi tiếng anh 10 (dùng chung các bộ sgk hiện hành) - HA Các em học sinh thân mến! Quyển sách “BỒI DƯỠNG HỌC SINH GIỎI TIẾNG ANH 10”
MÔ TẢ SẢN PHẨM Từ Vựng IELTS 8.0 - Từ Vựng Đắt Để Đạt Điểm Cao 4 Kỹ Năng là cuốn sách tổng hợp 15 chủ đề Từ vựng chất lượng giúp bạn đạt điểm
MÔ TẢ SẢN PHẨM Từ Vựng IELTS 8.0 - Từ Vựng Đắt Để Đạt Điểm Cao 4 Kỹ Năng là cuốn sách tổng hợp 15 chủ đề Từ vựng chất lượng giúp bạn đạt điểm
Take Note Toán lớp 10 – Hiểu nhanh, nhớ lâu, áp dụng tốt Take Note Toán lớp 10 – Tổng hợp kiến thức: Hiểu nhanh, nhớ lâu! là một cuốn sách đồng hành không thể
GIỚI THIỆU SÁCH “COMBO BỒI DƯỠNG HỌC SINH GIỎI VẬT LÍ 10” là bộ sách dùng cho học sinh khá giỏi, học sinh các lớp chuyên Vật lí. Về cấu trúc, mỗi cuốn sách đều
Cuốn sách Giải thích chuyên đề thi vào 10 chuyên Tiếng Anh nằm trong bộ sách Giải thích chuyên đề thi vào 10 chuyên. Cuốn sách giúp học sinh củng cố lại kiến thức trọng
Tác Giả: Nhiều tác giả Số trang: 220 Năm xuất bản: 2022 Khổ sách: 19x27cm Hình thức :bìa mềm NXB: NXB Đại học quốc gia Hà Nội Giới Thiệu
500 Bài Toán Chọn Lọc Lớp 10 (Dùng Chung Cho Các Bộ SGK Hiện Hành) 500 Bài Toán Chọn Lọc Lớp 10 (Dùng Chung Cho Các Bộ SGK Hiện Hành) được biên soạn theo chuẩn
Bồi Dưỡng Học Sinh Giỏi Địa Lí 12 (Biên Soạn Theo Chương Trình Giáo Dục Phổ Thông Mới) Sách Bồi dưỡng học sinh giỏi Địa lí 12 được biên soạn để dùng làm tài liệu
Nhà xuất bản: NXB Dân Trí Tác giả: Nhiều tác giả Loại bìa: Bìa Mềm Số trang: 159 Năm xuất bản: 2025 Điểm Cao Và Chinh Phục Ngữ Văn 12 Luyện Thi TN THPT
MÔ TẢ SẢN PHẨM CAM KẾT VÀ BẢO HÀNH - Đảm bảo và cam kết sản phẩm đúng với mô tả và hình ảnh của shop. - Đổi trả sản phẩm miễn phí trong vòng
Bộ sách "Bồi Dưỡng Học Sinh Giỏi Vật Lí Trung Học Phổ Thông - 13 cuốn"nằm trong bộ sách chuyên đề nhiều tập của NXB Giáo dục Việt Nam. Đây là tập sách viết sâu
Sách - Hướng dẫn ôn thi tốt nghiệp THPT môn Ngữ Văn (BÁM SÁT CẤU TRÚC VÀ NỘI DUNG ĐỀ THI MINH HOẠ TỐT NGHIỆP THPT ĐƯỢC BỘ GIÁO DỤC & ĐÀO TẠO CÔNG
Sách - Combo Để học tốt Ngữ Văn 10 - Tập 1 + 2 (Theo SGK Cánh Diều) Gồm 2 cuốn : Để học tốt Ngữ Văn 10 - Tập 1 (Theo SGK Cánh
Thầy cô đang cần một cuốn sách tham khảo gợi mở những ý tưởng sáng tạo, gắn việc dạy – học lịch sử với thực tiễn, phát triển tư duy và đảm bảo các yêu
Thông tin chi tiết: Tác giả: NGƯT. ThS. Lê Hoành Phò Nhà Xuất Bản : NXB Đà Nẵng Số trang : 534 Năm xuất bản : 2022 Giới thiệu sách: Phần 1: Nguyên Hàm
Bí kíp - nắm trọn điểm thi vào 10: Đây là cuốn sách vàng ''giải cứu'' các sĩ tử 2K7 nhằm giúp các em học sinh lớp 9 tự tin chinh phục toàn bộ
Theo chương trình mới, các bạn tiếp cận Toán học với những nội dung gần gũi với cuộc sống và giảm nhẹ các yếu tố hàn lâm. Các bạn cũng được định hướng để phát
Với mục đích giúp các em học sinh làm quen với phương pháp thi mới mẻ này và có được tài liệu chuẩn bị cho kỳ thi sắp tới, tác giả đã xuất bản cuốn
Năng lực đọc hiểu văn bản là một yêu cầu ngày càng trở nên quan trọng đối với con người. Bởi vậy trong nhà trường trung học hiện nay, với môn Ngữ văn, đọc hiểu
Nhằm giúp giáo viên có thêm tài liệu tham khảo trong việc bồi dưỡng, rèn luyện năng khiếu cho học sinh giỏi và giúp các em học sinh có tài liệu tự nâng cao kiến
Sách - Tổng Tập Đề Thi Olympic 30 Tháng 4 Môn Vật Lí Lớp 10 Kì thi Olympic 30 tháng 4 do Sở Giáo dục và Đào tạo, trường THPT chuyên Lê Hồng Phong
Nhằm giúp giáo viên có thêm tài liệu tham khảo trong việc bồi dưỡng, rèn luyện năng khiếu cho học sinh giỏi và giúp các em học sinh có tài liệu tự nâng cao kiến
Nội dung trong sách bám sát chương trình ban Cơ bản phù hợp với kiến thức thi THPT - Quốc gia hiện nay. Sách gồm 18 vấn đề, mỗi vấn đề gồm nhiều dạng bài
Khám Phá Toán 11 Để Học Giỏi - Tập 2 (Dùng Kèm SGK Chân Trời Sáng Tạo) Nối tiếp bộ sách Khám phá Toán 10 để học giỏi gồm 3 phiên bản tương ứng cho 3
THÔNG TIN CHI TIẾT - Tác giả : Nhóm tác giả - Nhà xuất bản : NXB Dân Trí - Kích thước : 21x 30 cm - Số trang : 269 trang - Loại bìa
THÔNG TIN CHI TIẾT - Tác giả : Nhóm tác giả - Nhà xuất bản : NXB Dân Trí - Kích thước : 21 x 30 cm - Số trang : 309 trang - Loại
Nhằm giúp các em học sinh bậc trung học phổ thông (THPT) nắm vững được kiến thức và kĩ năng của chương trình Vật lí trong quá trình học và ôn tập, chúng tôi biên
ƯU ĐIỂM CỦA CUỐN SỔ TAY LUYỆN THI VÀO LỚP 10 - MÔN TOÁN 1. Hệ thống kiến thức toán học ngắn gọn, trọng tâm nhất Cuốn sách bao gồm 12 chương kiến thức ngắn gọn nhất,
Mô tả sản phẩm Căn cứ vào yêu cầu đạt được của mỗi chuyên đề chuyên sâu môn Hóa học được quy định trong công văn số 4171 BGD ĐT-GD TrH ngày 26 tháng 08
SÁCH ĐỘT PHÁ TƯ DUY LỊCH SỬ 12 Biến việc học thành một cuộc phiêu lưu thú vị Bạn đang tìm kiếm một giải pháp học tập giúp bạn tiết kiệm thời gian, chi
Đột Phá Ngữ Văn 11 - Tập 1 (Theo Bộ Sách Cánh Diều) Bạn đang tìm kiếm một giải pháp học tập giúp bạn tiết kiệm thời gian, chi phí mà lại nâng cao được
Đột Phá Ngữ Văn 11 - Tập 2 (Theo Bộ Sách Cánh Diều) Bạn đang tìm kiếm một giải pháp học tập giúp bạn tiết kiệm thời gian, chi phí mà lại nâng cao được
Đột Phá Ngữ Văn 10 - Tập 2 (Theo Bộ Sách Cánh Diều) Bạn đang tìm kiếm một giải pháp học tập giúp bạn tiết kiệm thời gian, chi phí mà lại nâng cao được
Đột Phá Tư Duy Hóa Học 12 - Tập 2 Bạn đang tìm kiếm một giải pháp học tập giúp bạn tiết kiệm thời gian, chi phí mà lại nâng cao được hiệu quả học
Hướng Dẫn Ôn Thi Tốt Nghiệp Trung Học Phổ Thông - Môn Ngữ Văn Từ năm 2025, thay đổi toàn diện Chương trình Giáo dục Phổ thông. Theo đó kì thì tốt nghiệp Trung học
Phương Pháp Giải Các Dạng Toán Thực Tế 12 Trong bối cảnh giáo dục ngày nay, việc nắm vững kiến thức toán học không chỉ là một nhiệm vụ học thuật mà còn là yếu
Thông tin chi tiết Tác giả: Nhiều tác giả NXB: Nhà xuất bản Đại học Quốc gia Hà Nội Nhà cung cấp ndbooks Năm xuất bản: 2025 Số trang: 176
SÁCH ĐỘT PHÁ TƯ DUY KÌ THI TỐT NGHIỆP THPT MÔN LỊCH SỬ Theo cấu trúc định hướng thi mới năm 2026 của BGD Với cấu trúc đề thi mới, các dạng câu hỏi mới
SÁCH ĐỘT PHÁ TƯ DUY KÌ THI TỐT NGHIỆP THPT MÔN NGỮ VĂN Theo cấu trúc định hướng thi mới năm 2026 của BGD Với cấu trúc đề thi mới, các dạng câu hỏi mới
Kì thi Olympic 30 tháng 4 do Sở Giáo dục và Đào tạo, Trường Trung học Phổ thông Chuyên Lê Hồng Phong Thành phố Hồ Chí Minh tổ chức đã diễn ra được 26 kì
Nội dung của mỗi tiết học là các định nghĩa, các công thức toán học, các định lí mà mỗi học sinh cần nhớ, đồng thời phải biết vận dụng các kiến thức để làm
Nội dung của mỗi tiết học là các định nghĩa, các công thức toán học, các định lí mà mỗi học sinh cần nhớ, đồng thời phải biết vận dụng các kiến thức để làm
Ngữ văn 10 - Phương pháp đọc hiểu và viết (dùng ngữ liệu ngoài sgk) - Theo CT 2018 dùng chung cho 3 bộ sgk là sách thảm khảo dùng cho học sinh lớp 10, Sách được
Cuốn sách "Hóa học nâng cao 10" được biên soạn dựa trên Chương trình giáo dục phổ thông năm 2018 - môn Hóa học, gồm 7 chương- * Chương 1. Cấu tạo nguyên tử
Năm học 2017 - 2018 đã bắt đầu. Các em học sinh lớp 12 vừa học phải vừa kiểm tra bài tập chu đáo theo từng chủ đề để chuẩn bị tốt nhất cho mình
Bộ sách bám sát yêu cầu đạt Ngữ văn 10 - chương trình Giáo dục phổ thông 2018 và công văn hướng dẫn về đổi mới dạy học và kiểm tra đánh giá Ngữ văn
Tham Khảo Hóa Học Lớp 11 - Biên soạn theo chương trình GDPT mới Tác giả : nhiều tác giả Năm xuất bản : 2023 Trang : 294 nhà phát hành : Nhà sách hồng
SÁCH - Hướng dẫn giải nhanh đề kiểm tra Hoá học 11 (dùng chung cho các bộ SGK hiện hành) Các em học sinh thân mến! Nhằm giúp các em đạt điểm cao trong các
NỘI DUNG CHƯƠNG 7: BẤT PHƯƠNG TRÌNH BẬC HAI MỘT ẨN CHƯƠNG 8: ĐẠI SỐ TỔNG HỢP CHƯƠNG 9: PHƯƠNG PHÁP TỌA ĐỘ TRONG MẶT PHẲNG CHƯƠNG 10 : XÁC SUẤT
Nếu như Những Viên Kim Cương Trong Bất Đẳng Thức Toán Học là một cuốn sách giới thiệu đầy đủ nhất về những phương pháp và công cụ chứng minh Bất đẳng thức thì Vẻ
HỌC TỐT TIẾNG ANH 10 – THEO CHƯƠNG TRÌNH GLOBAL SUCCESS Cuốn sách Học tốt Tiếng Anh 10 theo chương trình Global Success được biên soạn nhằm hỗ trợ học sinh nắm vững kiến thức,
👁️ 14 | ⌚2025-10-04 06:30:03.383

Sách - Chiến Tranh Biên Giới Tây Nam Dưới Góc Phê Bình Phân Tâm Học - Sách Chuyên Khảo - VIETNAMBOOK

Bộ luật Tố tụng hình sự năm 2015 của Việt Nam ra đời đánh dấu một bước ngoặt trong việc hoàn thiện pháp luật nhằm bảo đảm việc phát hiện, xử lý công minh, kịp
Sách - Giải Mã Hành Vi - Bắt Gọn Tâm Lý 23 thủ thuật nhìn thấu tâm lý đối phương Một số lượng lớn hành vi và cử chỉ của con người được thực hiện
Danh Tác Thế Giới: Ôlivơ Tuýt (Tái Bản 2019) ------------ Ôlivơ Tuýt là tác phẩm văn học nổi tiếng của Sáclơ Đickenx (1812-1870) - một tiểu thuyết gia tiêu biểu của nước Anh cuối thế
Qua hơn 70 câu chuyện trong sách, bạn đọc sẽ biết cảm nhận được những tình tiết đằng sau những khám phá dẫn đến giải Nobel, và những phát hiện giúp cho chúng ta hiểu

Sách - Chiến Tranh Biên Giới Tây Nam Dưới Góc Phê Bình Phân Tâm Học - Sách Chuyên Khảo Cuốn Chiến tranh biên giới Tây Nam dưới góc nhìn phê bình phân tâm học là
Combo bao gồm 2 cuốn: 1. Bài tập bổ trợ Toán – lớp 1 (cơ bản và nâng cao) Tập 1 - 148 Trang - Tác giả Vương Thị Vân - Dương Thị Thảo -
Combo Phiếu Bài Tập Cuối Tuần Toán + Tiếng Việt 1 (Biên Soạn Theo Chương Trình GDPT Mới) Bộ sách gồm có: - - Cuối tuần không chỉ để nghỉ ngơi mà
NỘI DUNG SÁCH Bài 1: Thơ và thơ song thất lục bát Bài 2: Truyện thơ nôm Bài 3: Văn bản thông tin Bài 4: Truyện ngắn Bài 5: Nghị luận xã hội Bài 6:
Với môn toán lớp 6, bộ sách gồm 2 cuốn: Củng cố và ôn luyện Toán 6 (tập 1 và tập 2) Mỗi tập của bộ sách gồm các chương và bài tập bám sát
Giáo Trình Tiếng Hoa Đương Đại - Sách Bài Tập + Sách Tập Viết 1-1 Bộ sách dành cho học sinh đến Đài Loan học tiếng Hoa và cũng là giáo trình phù hợp với
Nuôi Dưỡng Đứa Trẻ Hạnh Phúc Làm cha mẹ đã khó, nuôi dạy một đứa trẻ hạnh phúc trong thời đại ngày nay còn khó hơn gấp bội. Giữa guồng quay hối hả của cuộc
EQ - Đừng Để Cảm Xúc Hạ Gục Bản Thân
Osho - Suy Ngẫm Đầu Tiên Vào Buổi Sáng - 365 Khoảnh Khắc Thăng Hoa Cho Ngày Mới Tỉnh Thức (Tái Bản 2022)
Nghệ Thuật Nam Tính Ngôn ngữ tiếng Pháp tóm lược khái niệm về những điều ấy trong vỏn vẹn một cụm từ: savoir faire. James Bond. Theodore Roosevelt. Một bậc cha chú đáng kính nào
Thấu Hiểu Tỉnh Thức Trong giao tiếp với các mối quan hệ hàng ngày, tỉnh thức chính là quan sát cảm xúc của bạn khi đón nhận câu chuyện của người khác. Thay vì phán
Những Nguyên Tắc Thành Công - Thực Hành Cần phải đáp ứng những điều kiện gì để có thể đạt được thành công trong bất kỳ khía cạnh nào mà bạn mong muốn trong cuộc
Tâm Lý Học Tình Yêu Thông qua lăng kính triết học và khả năng phân tích những quan điểm của các triết gia đa hệ phái, TÂM LÝ HỌC TÌNH YÊU sẽ diễn giải, phân
Nhắm Mắt Lại Bạn Sẽ Thấy Cả đời con người luôn tìm kiếm việc yêu và được yêu. Vậy, rốt cuộc yêu là gì? Chúng ta phải yêu thương bản thân và người khác thế
Tác giả: Lee Jin Song Dịch giả: Thanh Huệ Nhà xuất bản: Phụ Nữ Kích thước: 14 x 20.5cm Số trang: 364 Hình thức: Bìa Mềm Đơn vị phát hành: Nhã Nam Năm phát hành:
Giới thiệu sách: Ranh Giới Giữa Mê và Ngộ (Tập 5: An Nhiên Giữa Những Muộn Phiền) Tập 5 của loạt sách Ranh Giới Giữa Mê và Ngộ, với tựa đề An Nhiên Giữa Những