✨Sách - Bồi Dưỡng Học Sinh Giỏi Toán 9

Bồi Dưỡng Học Sinh Giỏi Toán 9 Quyển sách Bồi Dưỡng Học Sinh Giỏi Toán 9 gồm các đề toán được tuyển chọn từ nhiều nguồn tài liệu bồi dưỡng học sinh giỏi toán bậc THCS. Quyển sách nhằm cung c...

mua sản phẩm tại Shopee Mua tại Shopeemua sản phẩm tại TikiMua tại Tikimua sản phẩm tại LazadaMua tại Lazadamua sản phẩm tại TiktokMua tại Tiktok
Sách - Bồi Dưỡng Học Sinh Giỏi Toán 9Sách - Bồi Dưỡng Học Sinh Giỏi Toán 9Sách - Bồi Dưỡng Học Sinh Giỏi Toán 9Sách - Bồi Dưỡng Học Sinh Giỏi Toán 9Sách - Bồi Dưỡng Học Sinh Giỏi Toán 9Sách - Bồi Dưỡng Học Sinh Giỏi Toán 9Sách - Bồi Dưỡng Học Sinh Giỏi Toán 9Sách - Bồi Dưỡng Học Sinh Giỏi Toán 9

Bồi Dưỡng Học Sinh Giỏi Toán 9

Quyển sách Bồi Dưỡng Học Sinh Giỏi Toán 9 gồm các đề toán được tuyển chọn từ nhiều nguồn tài liệu bồi dưỡng học sinh giỏi toán bậc THCS. Quyển sách nhằm cung cấp cho các em học sinh giỏi toán lớp 9 các dạng bài toán, nhiều bài toán hay và khó, góp thêm vào tủ sách của các thầy cô giáo dạy toán bậc THCS, các bậc phụ huynh và các em học sinh một tài liệu toán thiết thực và bổ ích.

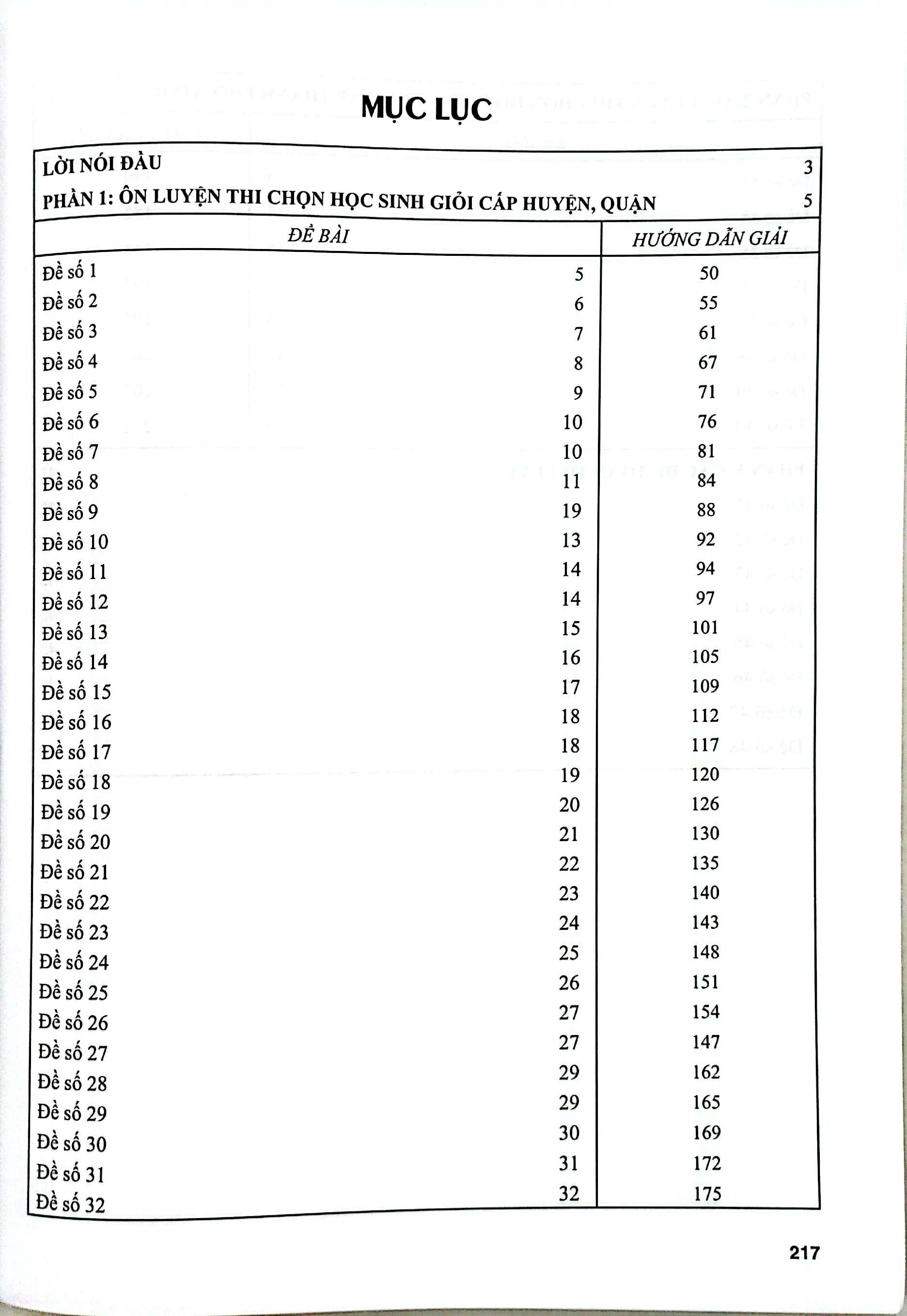
Quyển sách gồm ba phần:

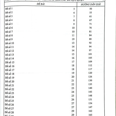
Phần 1. Ôn luyện thi chọn học sinh giỏi cấp huyện, quận.

Phần 2. Ôn luyện thi chọn học sinh giỏi cấp Thành phố, tỉnh.

Phần 3. Các đề toán tự luyện.

Các tác giả thật sự tin rằng quyển sách là người bạn đồng hành, thiết thực với các học sinh lớp 9 trong quá trình ôn luyện để dự thi chọn học sinh giỏi toán các cấp và thi vào lớp 10 chuyên Toán.

Chúng tôi rất mong nhận được những ý kiến đóng góp của bạn đọc về quyển sách để các lần in sau sách được hoàn thiện hơn.

Xin chân thành cám ơn.

mua sản phẩm tại Shopee Mua tại Shopeemua sản phẩm tại TikiMua tại Tikimua sản phẩm tại LazadaMua tại Lazadamua sản phẩm tại TiktokMua tại Tiktok
Theo xu hướng tự chủ, hiện nay các trường đại học, học viện trong cả nước sử dụng nhiều phương thức tuyển sinh khác nhau, trong đó đặc biệt ưu tiên sử dụng kết quả
Cấu trúc cụ thể của cuốn sách Bộ để kiểm tra, đánh giá Toán 9 như sau:   PHẦN 1. ĐỀ KIỂM TRA, ĐÁNH GIÁ   Để kiểm tra giữa học kì !   Để
Cấu trúc cụ thể của cuốn sách Bộ để kiểm tra, đánh giá Toán 9 như sau:   PHẦN 1. ĐỀ KIỂM TRA, ĐÁNH GIÁ   Để kiểm tra giữa học kì !   Để
Combo Khám Phá Khoa Học Tự Nhiên 7 + Tuyển Tập Đề Kiểm Tra Định Kì Khoa Học Tự Nhiên Lớp 7 (Biên Soạn Theo Chương Trình GDPT Mới) (Bộ 2 Cuốn)   1. Khám
Theo xu hướng tự chủ, hiện nay các trường đại học, học viện trong cả nước sử dụng nhiều phương thức tuyển sinh khác nhau, trong đó đặc biệt ưu tiên sử dụng kết quả
Kì thi Đánh giá tư duy năng lực của các trường đại học lớn như: Đại học Quốc gia Hà Nội (HSA), Đại học Quốc gia Thành phố Hồ Chí Minh (APT), Trường Đại học
Nhà xuất bản: NXB Dân Trí Tác giả: Nhiều Tác Giả Loại bìa: Bìa Mềm Số trang: 239 Năm xuất bản: 2023 Nhà phát hành : Sách Nhân Dân   ===================================   Bộ 30 Đề
Nhà xuất bản: NXB Dân Trí Tác giả: Nhiều Tác Giả Loại bìa: Bìa Mềm S ố trang: 239 Năm xuất bản: 2023 Nhà phát hành : Hồng ân =================================== Bộ 30 Đề Thi Thử
Năm học 2022-2023 là năm học đầu tiên áp dụng giảng dạy môn Khoa học tự nhiên 6 theo chương trình giáo dục phổ thông 2018. Đây là môn học tích hợp các lĩnh vực
Bộ 30 Đề Thi Thử Học Sinh Giỏi Khoa Học Tự Nhiên 6 (Theo Chương Trình Giáo Dục Phổ Thông Mới) Năm học 2022-2023 là năm học đầu tiên áp dụng giảng dạy môn Khoa
ương Pháp Giải Toán Chuyên Đề Hình Học Lớp 10 (Biên Soạn Theo Chương Trình GDPT Mới): Tác giả: Nguyễn Văn Nho - Lê Bảy Nhà phát hành : Nhà Xuất Bản Đại Học Quốc
Công ty phát hành: Nhà sách Hồng Ân Năm Xuất Bản: 2024 Tác Giả: Hoàng Thị Thúy Hương, Quách Văn Long, Nguyễn Xuân Trường Số Trang: 394 Nhà xuất bản: Đại Học Quốc Gia Hà
Sách - Bài giảng và lời giải chi tiết Tiếng Anh 12 (theo chương trình Friends Global) Cuốn sách “Bài giảng và lời giải chi tiết Tiếng Anh 12 – Friends Global” được biên soạn
Sách - Hướng dẫn giải chi tiết đề luyện thi tốt nghiệp THPT môn tiếng anh theo cấu trúc đề thi 2025 - HA Các em học sinh lớp 12 thân mến! Chúng tôi biên
Công ty phát hành: Nhà sách Hồng Ân Năm Xuất Bản: 2024 Tác Giả: Hoàng Thị Thúy Hương, Quách Văn Long, Nguyễn Xuân Trường Số Trang: 396 Nhà xuất bản: Đại Học Quốc Gia Hà
Mô Tả Sản Phẩm. Bộ sách hướng dẫn ôn tập kỳ thi vào lớp 10 của THPT Chuyên Ngoại ngữ. + Được các giáo viên đang giảng dạy tại THPT Chuyên Ngoại ngữ trực tiếp
combo Hướng dẫn học và làm bài làm văn Ngữ Văn 8 gồm Hướng dẫn học và làm bài làm văn Ngữ Văn 8 tập 1 Hướng dẫn học và làm bài làm văn Ngữ
Hướng dẫn học và làm bài làm văn Ngữ Văn 8 Để giúp các em có thể học và nắm chắc nội dung kiến thức bộ môn ngữ văn ở cấp THCS, chúng tôi biên
Combo: Bộ sách Ôn luyện cơ bản và nâng cao Toán 9 Tập 1 +T2 (Bám sát chương trình SGK Kết nối tri thức với cuộc sống) Tác giả Nhiều tác giả Nhà xuất bản
Nhà xuất bản : Đại Học Sư Phạm Tác Giả : Nguyễn Đức Tấn Năm xuất bản : 2022 Trang : 200 nhà phát hành : Nhà sách hồng ân NỘI DUNG   Định hướng
Nhà xuất bản : Đại Học Sư Phạm Tác Giả : Nguyễn Đức Tấn Năm xuất bản : 2022 Trang : 200 nhà phát hành : Nhà sách hồng ân NỘI DUNG   Định hướng
combo hướng dẫn học và phương pháp giải toán 8 - tập 1 + 2 (bám sát sgk chân trời sáng tạo) (bộ 2 cuốn) Combo Hướng Dẫn Học & Phương Pháp Giải Toán Lớp
Sách - Các dạng nghị luận xã hội ngữ văn 9 (dành cho học sinh lớp 9 vào lớp 10 theo cấu trúc đề thi năm 2025) - HA Quý thầy cô và các em
1. Bồi Dưỡng Học Sinh Giỏi Sinh Học 10 - TÁI BẢN MỚI Cuốn sách được viết bám sát chương trình Sinh học lớp 10 phổ thông và chương trình sinh học lớp 10. Cuốn
Sách - Các dạng nghị luận xã hội ngữ văn 9 (dành cho học sinh lớp 9 vào lớp 10 theo cấu trúc đề thi năm 2025) - HA Quý thầy cô và các em
Sách - Các dạng nghị luận xã hội ngữ văn 9 (dành cho học sinh lớp 9 vào lớp 10 theo cấu trúc đề thi năm 2025) - HA Quý thầy cô và các em
CAM KẾT VÀ BẢO HÀNH - Đảm bảo và cam kết sản phẩm đúng với mô tả và hình ảnh của shop. - Đổi trả sản phẩm miễn phí trong vòng 7 ngày nếu sản
Sách - Combo Hướng Dẫn Học Ngữ Văn Lớp 7 Tập 1 + Tập 2 ( Dùng Kèm Sách Giáo Khoa Chân Trời Sáng Tạo ) gồm : Hướng Dẫn Học Ngữ Văn 7- Tập 1
Sách - Sách tham khảo lí 12 theo chương trình mới (dùng chung các bộ sgk hiện hành) + ha Tiếp theo cuốn Sách tham khảo VẬT LÍ 10, 11, với tinh thần giúp đỡ
1.Bồi Dưỡng Học Sinh Giỏi Hóa Học 8 Theo Chuyên Đề (Dùng Chung Cho Các Bộ SGK Hiện Hành) Cuốn sách Các Chuyên Đề Bồi Dưỡng Học Sinh Giỏi Hóa Học 8 giúp các em
1.Bồi Dưỡng Học Sinh Giỏi Hóa Học 8 Theo Chuyên Đề (Dùng Chung Cho Các Bộ SGK Hiện Hành) Cuốn sách Các Chuyên Đề Bồi Dưỡng Học Sinh Giỏi Hóa Học 8 giúp các em
Sách - Tư Liệu Dạy Học Lịch Sử + Địa Lí Lớp 9 (Dùng Chung Cho Các Bộ SGK Hiện Hành) - HA Nhằm cung cấp cho giáo viên và học sinh các tư liệu
Sách - Tư Liệu Dạy Học Lịch Sử + Địa Lí Lớp 9 (Dùng Chung Cho Các Bộ SGK Hiện Hành) - HA Nhằm cung cấp cho giáo viên và học sinh các tư liệu
Sách - Combo Tư Liệu Dạy - Học: Lịch Sử 9 + Địa Lí 9 (Dùng Chung Cho Các Bộ SGK Hiện Hành) - HA Combo Tư Liệu Dạy - Học: Lịch Sử 9 +
1.Bồi Dưỡng Học Sinh Giỏi Hóa Học 8 Theo Chuyên Đề (Dùng Chung Cho Các Bộ SGK Hiện Hành) Cuốn sách Các Chuyên Đề Bồi Dưỡng Học Sinh Giỏi Hóa Học 8 giúp các em
Tác giả: Nhiều tác giả   Nhà xuất bản: NXB Giáo dục Việt Nam   Năm xuất bản: 2023   Số trang: 116/ cuốn   Khổ: 20x28 cm   Hình thức: Bìa mềm   Giới
Cấu trúc cụ thể của cuốn sách Bộ để kiểm tra, đánh giá như sau:   PHẦN 1. ĐỀ KIỂM TRA, ĐÁNH GIÁ   Để kiểm tra giữa học kì !   Để kiểm tra
Cấu trúc cụ thể của cuốn sách Bộ đề kiểm tra, đánh giá Toán 6 như sau:   PHẦN 1. ĐỀ KIỂM TRA, ĐÁNH GIÁ   Đề kiểm tra giữa học kì l   Đề
Combo Hướng Dẫn Học Và Giải Các Dạng Bài Tập Toán 8 Tập 1 + 2 (Bám Sát SGK Kết Nối Tri Thức Với Cuộc Sống) (Bộ 2 Cuốn)   1. Hướng Dẫn Học Và Giải
Sách - Bồi dưỡng ngữ văn 9 (bám sát sgk kết nối tri thức với cuộc sống) - HA3 Quý thầy cô cùng các em học sinh thân mến! Để giúp quý thầy cô cùng
Gồm 2 cuốn : Củng cố và Ôn luyện Toán 7 - Tập 1 Củng cố và Ôn luyện Toán 7 - Tập 2 Củng cố và Ôn luyện Toán 7 - Tập 1 Nội
Bồi Dưỡng Ngữ Văn Lớp 9 - Bám Sát SGK: Kết Nối Tri Thức Với Cuộc Sống Quý thầy cô cùng các em học sinh thân mến! Để giúp quý thầy cô cùng các em
Năm Xuất Bản 2023 Tác Giả Nguyễn Quốc Khánh, Kiều Bắc, Nguyễn Thị Hoa Kích Thước 17 x 24 cm Nhà Xuất bản Đại Học Quốc Gia Hà Nội Số Trang 208 Bìa Mềm Đồng
Chi Tiết Sản Phẩm Nhà phát hành Ns Nhân Dân Tác giả Hoàng Thị Lâm Nho NXB Thanh Niên Năm Xuất Bản 2024 Số trang 152   ======================     CAM KẾT VÀ BẢO HÀNH
Nhằm giúp học sinh tự ôn luyện, kiểm tra đánh giá kiến thức sau mỗi bài học, mỗi chương phù hợp với chương trình mới; đồng thời giúp quý thầy cô giáo, quý phụ huynh
NXB Dân Trí Tác giả Nhiều tác giả Năm XB 2025 khổ 20.5x28.5 Số trang: 144 trang     Hệ thống bài tập theo cấp độ từ cơ bản tới nâng cao giúp học sinh
Cuốn sách có nội dung bám sát bộ sách giáo khoa “Cánh diều” của Nhà xuất bản Đại học Sư phạm. Ngoài ra quý phụ huynh có thể sử dụng cuốn sách làm tài liệu
Cuốn sách có nội dung bám sát bộ sách giáo khoa “Cánh diều” của Nhà xuất bản Đại học Sư phạm. Ngoài ra quý phụ huynh có thể sử dụng cuốn sách làm tài liệu
Sách - Hướng dẫn học và làm bài Ngữ Văn 6, 7, 8,9 (Kết nối tri thức với cuộc sống) HA GỒM : 1. (Combo 2 Tập) Hướng Dẫn Học Và Làm Bài Ngữ Văn
Sách - Hướng dẫn học và làm bài Ngữ Văn 6, 7, 8,9 (Kết nối tri thức với cuộc sống) HA GỒM : 1. (Combo 2 Tập) Hướng Dẫn Học Và Làm Bài Ngữ Văn
============= Giới Thiệu Sách ============   GLOBAL SUCCESS - Bài tập trắc nghiệm tiếng anh lớp 8 (có đáp án) Bộ sách “BÀI TẬP TRẮC NGHIỆM TIẾNG ANH LỚP 8" được ra đời với mục
Mô Tả Sản Phẩm   Khoa học tự nhiên luôn đổi mới để đáp ứng yêu cầu của cuộc sống hiện đại. Do vậy, giáo dục phổ thông phải liên tục cập nhật những thành
Cuốn sách tham khảo Ôn luyện cơ bản và nâng cao Toán 8 (Bám sát SGK Kết Nối) là cuốn sách do nhiều tác giả biên soạn. Thông qua các chuyên đề và bài tập
Sách Bài Tập Bổ Trợ Toàn Diện Tiếng Anh 9 từ ABBOOKS là tài liệu học tập chất lượng, được biên soạn dành riêng cho học sinh lớp 9, giúp các em củng cố kiến thức, rèn luyện
Bản đọc thử:   Thông tin chi tiết: Nhà xuất bản Đại học Quốc gia Hà Nội Nhà phát hành: Sách Nhân Dân Tác giả: nhiều tác giả Số trang: 160 Năm xuất bản: 2023
Mô tả sản Phẩm Bộ lắp ghép lớp 4 và 5 Thương hiệu: đông á/ nhật hoa minh Xuất xứ: Việt nam Sử dụng trong môn Kỹ Thuật lớp 4- lớp 5 Mô tả sản
Bài Tập Tiếng Anh Lớp 11 - Không Đáp Án (Theo Chương Trình Chân Trời Sáng Tạo)   Chúng tôi biên soạn Bài tập Tiếng Anh 11 – Không đáp án theo Chương trình Giáo dục phổ thông
Bí quyết chinh phục điểm cao Tiếng Anh 7 - Tập 1 - SÁCH TỰ HỌC GIỎI CÙNG CHUYÊN GIA   Cuốn sách nằm trong bộ sách tham khảo được xây dựng bởi đội ngũ PGS.TS
Combo: Bộ sách Ôn luyện cơ bản và nâng cao Toán 8 Tập 1 +T2 (Bám sát chương trình SGK Kết nối tri thức với cuộc sống) Tác giả Nhiều tác giả Nhà xuất bản
- Chương trình sách giáo khoa mới, kết hợp cả 3 bộ sách: Kết nối tri thức, Cánh diều và Chân trời sáng tạo. - Khoá học online tặng kèm sách hỗ trợ quá trình
Trang đầu 1 2 3 4 5 6 7 8 9 10 11 12 13 14 15 16 17 18 19 20 21 22 23 24 25 26 27 28 29 30 31 32 33 34 35 36 37 38 39 40 41 42 43 44 45 46 47 48 49 50 Trang cuối
👁️ 51 | ⌚2025-10-07 20:51:39.418
Ai thi học sinh giỏi cấp quốc gia đều sẽ được cấp giấy chứng nhận| THƯ VIỆN PHÁP LUẬT
Tư duy như học sinh giỏi toán. Bạn nào yếu toán,cần lấy gốc thì follow anh nhé #toán #toanhoc #toan9
Bất đẳng thức ôn thi học sinh giỏi toán 9 ( video 5)
Đề thi chuyên Toán Bà Rịa Vũng Tàu 2021-2022 ( Giải chi tiết)
Ôn tập kiến thức trọng tâm hệ thức lượng trong tam giác vuông Toán lớp 9 - Thầy Bùi Minh Mẫn
Hệ thức lượng trong tam giác vuông Bồi dưỡng HSG Toán 9 - Thầy Trần Ngọc Hà

QC Shopee
Nội dung sách được chia làm ba phần:   Phần Một : Những Nguyên Tắc Chung   Khảo sát thực trạng căn bản của chúng ta: bản chất và nguyên nhân những dạng thức phiền
Tủ Sách Kể Chuyện Lịch Sử Trung Quốc: Kể Chuyện Lưỡng Tấn Nam Bắc Triều  Về nội dung, quyển Kể chuyện Lưỡng Tấn Nam Bắc triều này đề cập tới lịch sử Trung Quốc từ
Cách mạng Tháng Tám, rồi hai cuộc kháng chiến chống Pháp và chống Mỹ kéo dài trên 30 năm, cho đến năm 1975 rồi trước năm 1980, ngót 40 năm; Cả dân tộc và nền
Tủ Sách Kể Chuyện Lịch Sử Trung Quốc: Kể Chuyện Tùy Đường Về nội dung, quyển Kể chuyện Tùy Đường này đề cập tới lịch sử Trung Quốc từ thời Tùy Đường qua thời Ngũ
Mục lục Chương 1 bí mật của hình dạng, âm thanh và hương thơm .9 Chương 2 Những bí mật giả kim của những nơi chốn hành hương linh thiêng ...58 Chương 3 Khoa học
Hãy cùng với Allie, Ollie và chú chó nhỏ của họ, Yo, tham gia chuyến du ngoạn vũ trụ nào! Từ lúc ngắm nhìn các vì sao xa xôi cho tới những bước đi đầu
Atlas Kì Thú Về Động Vật Nhà xuất bản : Nhà Xuất Bản Mỹ Thuật. Công ty phát hành : Tân Việt. Tác giả : Nina Filipek. Kích thước : 30 x 25 x 1
Tác giả: Bạch Nguyệt Hệ Dịch giả: Cao Đức Hiếu Nhà xuất bản: Hà Nội Kích thước: 14.5x20.5 cm Số trang: 420 Ngày phát hành: 2024 Giới thiệu sách Một bộ xếp hình kỳ diệu
Tác giả: Brian Fagan Dịch giả: Quỳnh Chi Nhà xuất bản: Thế Giới Kích thước: 15.5x24 cm Số trang: 368 Ngày phát hành: 2024 đơn vị phát hành: Nhã NaDD Giới thiệu sách Mới xuất
CHẾ NGỰ TÂM LÝ NO BỤNG ĐÓI CON MẮT - Michael Easter (bìa mềm) - Giá bìa: 199.000đ Giới thiệu về nội dung Trong một thế giới tràn ngập ham muốn và sự quyến rũ
Tin Học Ứng Dụng - Phân Tích Dữ Liệu Và Lập Mô Hình Kinh Doanh Trong Excel NỘI DUNG SÁCH: Cho dù bạn làm việc cho một tập đoàn lớn, một công ty nhỏ, một
Chuyển Hóa Hiện Tại Bằng Tương Lai NỘI DUNG: Cuộc Cách mạng đã thay đổi ngành tâm lý học: Giờ đây các nghiên cứu đã chứng minh rằng quá khứ của con người không thúc
ƯU ĐIỂM NỔI BẬT CỦA CUỐN SÁCH: 1. Sách tương tác - tuyệt chiêu giúp trẻ yêu sách: Bộ sách "Trò Chơi Bóc Dán" là một cuốn sách tương tác giúp bé vừa đọc vừa
Ngữ pháp Pali Văn học Phật giáo truyền thống sử dụng được bốn loại ngôn ngữ cổ như Pāli, Sanskrit, Trung, Tây Tạng. Ngoài bốn loại ngôn ngữ trên, ngôn ngữ Magadhῑ được biết như
60 Bài mẫu IELTS Speaking Band 8.0 là cuốn sách do thầy Tú Phạm, người từng đạt điểm IELTS 9.0 Speaking viết cùng cô Minh Nguyễn, người từng dành học bổng Chevening 2017 và cô
Công ty phát hành: Huy Hoang Bookstore Tác giả: Rachel E. Gross Nhà xuất bản: Phụ Nữ Việt Nam Năm xuất bản: 2024 Số trang: 4 Khổ giấy: 13.5x20.5m Trọng lượng: 300gr Bìa mềm ISBN:
Đi về phía bình yên – câu chuyện của chị em bị bạo lực, xâm hại và mua bán người Towards Peaceful horizon: Stories of women surviving domestic violence, abuse, and human trafficking Sách song
Cuốn sách này sẽ tái hiện 41 người hùng của thiên nhiên cho bạn đọc 8-15 tuổi. Hãy dành cho hành tinh xanh này những suy tư nghiêm túc, việc đó nằm trong tay bạn!
Cuốn sách "Bầu không khí" (Atmospheres) của Peter Zumthor là một tác phẩm ngắn gọn nhưng sâu sắc, trong đó kiến trúc sư nổi tiếng người Thụy Sĩ chia sẻ những suy ngẫm cá nhân
Cuốn sách dựa trên chương trình Giải Tích 12 sau đó thâu tóm lại các dạng bài tập chính và cách giải các bài tập đó. Các bài toán được sắp xếp từ để đến khó