✨500 Bài Toán Chọn Lọc 9 (Dùng Chung Cho Các Bộ SGK Hiện Hành) (HA)










500 Bài Toán Chọn Lọc 9 (Dùng Chung Cho Các Bộ SGK Hiện Hành)
NỘI DUNG SÁCH:
Cuốn sách 500 Bài Toán Chọn Lọc Lớp 9 được biên soạn theo chuẩn kiến thức, kỹ năng chương trình sách giáo khoa lớp 9. Sách tổng hợp 500 bài toán dựa theo chương trình học để các em rèn luyện kỹ năng giải bài tập một cách hiệu quả.
Sách bao gồm:
Đề bài.
Hướng dẫn giải.




Sách - Giúp em giỏi toán 9/1 (bám sát sgk kết nối tri thức với cuộc sống) - HA Cuốn sách Giúp em giỏi Toán 9 – Tập một được biên soạn bám sát
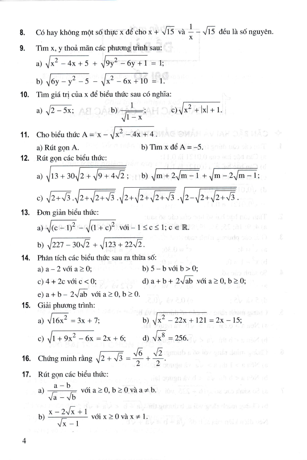
Các em học sinh thân mến! Thị trường sách tham khảo dành cho học sinh THCS đã khá nhiều. Song với kinh nghiệm tích luỹ trong nhiều năm và để giúp các em học
Nội dung của mỗi bài học đó là các định nghĩa, các công thức toán học, các định lí mà mỗi học sinh cần nhớ, đồng thời phải biết vận dụng các kiến thức để
Sách - Hướng dẫn học và giải các dạng bài tập Toán 9/1 (bám sát SGK Kết nối tri thức với cuộc sống) -HA Với mong muốn giúp học sinh phát triển phẩm chất và
Sách - Bài giảng & lời giải chi tiết tiếng anh 9 (bám sát sgk i-learn smart world) Cuốn sách Bài giảng và lời giải chi tiết Tiếng Anh 9 được biên soạn nhằm mục
được biên soạn bởi các tác giả là chuyên gia, nhà khoa học, nhà giáo giàu kinh nghiệm về giáo dục phổ thông. Bộ sách được biên soạn vừa giúp học sinh củng cố các
được biên soạn bởi các tác giả là chuyên gia, nhà khoa học, nhà giáo giàu kinh nghiệm về giáo dục phổ thông. Bộ sách được biên soạn vừa giúp học sinh củng cố các
-------------------------giới thiệu sách-------------------- -35 đề thi then chốt vào lớp 6 -Đề thi phong phú , đa dạng bám sát chương trình của Bộ giáo dục & Đào tạo -Có đáp án (tặng
Sách - Hướng dẫn và minh họa viết đoạn văn nghị luận xã hội 200 chữ (dùng chung cho các bộ sgk hiện hành) - HA Các em học sinh 12 thân mến! Trong cấu
Mô tả sản phẩm Giới thiệu Sách - [ Lớp 4 lên lớp 5 ] - Bộ đề ôn tập hè Vui Học Toán Hè lớp 4 lên lớp 5 Bộ đê ôn tập trong
Sách - Combo Hướng dẫn học và giải các dạng bài tập Toán 6 (Tập 1+Tập 2) Gồm 2 cuốn : Hướng dẫn học và giải các dạng bài tập Toán 6 - Tập 1
Từ năm học 2021-2022, chương trình và sách giáo khoa Ngữ văn Trung học Cơ sở mới được triển khai dạy và học trên phạm vi toàn quốc. Để góp phần giúp giáo viên, phụ
Bạn đang tìm kiếm một người bạn đồng hành tin cậy để vượt qua các kỳ thi học sinh giỏi Toán lớp 9? Bạn mong muốn tiếp cận những dạng toán chuyên sâu, tư duy
Sách ôn thi thpt quốc gia 2025, Sách ôn thi tốt nghiệp môn Vật Lí 1. Mô tả Sách ôn thi thpt quốc gia 2025, Sách ôn thi tốt nghiệp môn Vật Lí - Đề
Sách có hai tập, bám sát các nội dung cơ bản theo định hướng phát triển năng lực đọc, viết, nói và nghe của sách giáo khoa Ngữ văn 9 bộ “Kết Nối Tri Thức".
Bồi Dưỡng Học Sinh Giỏi Toán 9 (Luyện Thi Vào Lớp 10) Sách nhằm góp thêm vào tủ sách của bạn đọc một tài liệu bồi dưỡng học sinh giỏi lớp 9 và luyện thi
Các em học sinh lớp 7 yêu quýt Sau một năm lớp 6 học tập môn Ngữ văn, các em đã được tiếp xúc với các văn bản miêu tả, tự sự, biểu cảm, nghị
Sách - Tự tin luyện thi vào lớp 10 môn hóa học dành cho học sinh lớp 9 (dùng chung các bộ sgk hiện hành) Quý Thầy, Cô cùng các em học sinh thân
Sách - Bài tập phát triển năng lực Ngữ văn 8 tập 1 (Chân trời) THÔNG TIN CHI TIẾT Sách - Bài tập phát triển năng lực Ngữ văn 8 tập 1 (Chân trời)
•Phần 1. Định hướng và phát triển tư duy giải bài tập toán khó. Trong từng bài là các bài toán tương tự các bài tập trong sách giáo khoa, bài tập quen thuộc,
Thông tin chi tiết: Công ty phát hành: Sách Nhân Dân Tác Giả : Nguyễn Hồng Quân Số trang : 185 Năm xuất bản : 2022 Khổ sách : 19x27cm Hình thức : bìa
Làm bài kiểm tra là một phần quan trọng trong quá trình học tập của học sinh. Bài kiểm tra không những giúp giáo viên đánh giá chất lượng học tập của học sinh mà
•Phần 1. Định hướng và phát triển tư duy giải bài tập toán khó. Trong từng bài là các bài toán tương tự các bài tập trong sách giáo khoa, bài tập quen thuộc,
Sách - Toán 6 - Các Bài Toán Thực Tế Tác Giả: Nhiều tác giả Nhà Xuất Bản: Giáo Dục Việt Nam
Chinh Phục Đề Thi Vào Lớp 6 Trường THCS Chất Lượng Cao Môn Toán CÁC ƯU ĐIỂM CỦA CUỐN SÁCH: 1. Tổng ôn 30 đề then chốt môn Toán. Việc luyện tập nhuần nhuyễn giúp
Sách - Đề Kiểm Tra Toán 9 (Bám Sát SGK Kết Nối Tri Thức Với Cuộc Sống) - HA Quý Thầy, Cô cùng các em học sinh thân mến! Sau khi thực hiện Chương trình
Sách - HƯỚNG DẪN ÔN LUYỆN VÀO LỚP 6 MÔN TIẾNG VIỆT Theo chương trình mới (Dùng cho cả 3 bộ sách) Tác giả:Diêu Lan Phương (chủ biên) Trần Thu Hoa Phan Thùy Dương Lê Thu
Sách - Đề Kiểm Tra Toán 9 (Bám Sát SGK Kết Nối Tri Thức Với Cuộc Sống) - HA Quý Thầy, Cô cùng các em học sinh thân mến! Sau khi thực hiện
Nhâm mục đích giúp giáo viên và các em học sinh có thêm tài liệu luyện tập, củng cố, mở rộng và nâng cao kiến thức, chúng tôi biên soạn bộ sách Trọng tâm ngữ
Sách - Bộ Đề Kiểm Tra Toán 9 (Bám Sát SGK Chân Trời Sáng Tạo) - HA Quý Thầy, Cô cùng các em học sinh thân mến! Sau khi thực hiện chương trình giáo
Sách - Đề Kiểm Tra Toán 9 (Bám Sát SGK Kết Nối Tri Thức Với Cuộc Sống) - HA Quý Thầy, Cô cùng các em học sinh thân mến! Sau khi thực hiện Chương trình
Mô Tả Sản Phẩm Chương 1: Số hữu tỉ Chương 2: Số thực Chương 3: Góc và đường thẳng song song Chương 4: Tam giác bằng nhau Chương 5: Thu thập và biểu diễn dữ
100 Bài Làm Văn Hay Lớp 7 Với môn Tiếng Việt lớp 7, các em sẽ được bổ sung một lượng kiến thức phong phú, mới mẻ và hấp dẫn. Các em cũng sẽ được
Nội dung gồm có: Bài 6: Bài học cuộc sống Bài 7: Thế giới viễn tưởng Bài 8: Trải nghiệm để trưởng thành Bài 9: Hòa điệu với tự nhiên Bài 10: Trang sách
Củng cố và ôn luyện Tiếng anh lớp 7 - theo chương trình mới nhất của Global Success. Cuốn sách được chia thành các đơn vị bài học tương tự như sách giáo khoa để
MÔ TẢ SẢN PHẨM Nhà xuất bản: NXB Dân Trí Tác giả: Nhiều tác giả Loại bìa: Bìa Mềm Số trang: 180 Năm xuất bản: 2025 150 Bài Văn Hay 8 Văn hay
Sách - Bài giảng và lời giải chi tiết tiếng anh 9 (dùng kèm sgk kết nối - global success) - HA Đáp ứng yêu cầu đổi mới trong Chương trình giáo dục phổ thông
Nhà phát hành: Công ty TNHH Dịch vụ Giáo dục Việt Nam Tác giả: Diễn Lê Nhà xuất bản: NXB Đại Học Quốc Gia Hà Nội Năm xuất bản: 2023 Số trang: 200 trang
Củng Cố Và Ôn Luyện Toán 6 - Tập 2 Cuốn sách "Củng cố và ôn luyện Toán 6" là người bạn đồng hành tuyệt vời trong hành trình chinh phục môn Toán lớp 6
Quyển “Bài tập tiếng Anh 7 – Dùng kèm tiếng Anh 7” được biên soạn dựa trên sách Tiếng Anh 7 i-learn Smart World nằm trong bộ Sách giáo khoa Cánh Diều. Sách bao gồm
Cuốn sách Giải bài tập Toán lớp 7 được biên soạn theo sách giáo khoa Kết nối tri thức với cuộc sống nhằm giúp các em học sinh lớp 7 có thêm một tài liệu
Sách - Tuyển tập bộ đề môn toán luyện thi THPT cấu trúc đề thi năm 2025 - HA Công ty phát hành Nhà Sách Hồng Ân Năm Xuất Bản 2025 Bìa mềm Tác Giả
Bộ mô hình kỹ thuật lớp 4-5 dùng cho học sinh: Sản phẩm chất lượng cao, được sản xuất từ nhựa nguyên sinh cao cấp 100% Kiểu dáng , màu sắc đa dạng Tháo ,
Học Tốt Khoa Học Tự Nhiên 7 (Dùng Kèm SGK Cánh Diều) Quý thầy, cô, các bậc phụ huynh và các em học sinh thân mến! Sách giáo khoa Khoa học tự nhiên lớp 7 được
Hướng Dẫn Học Ngữ Văn 8 - Tập 2 (Dùng Kèm SGK Chân Trời Sáng Tạo) Đồng hành cùng với chủ trương lớn của Đảng, Nhà nước về việc thay đổi sách giáo khoa,
Hướng Dẫn Học Ngữ Văn 8 - Tập 1 (Dùng Kèm SGK Chân Trời Sáng Tạo) Đồng hành cùng với chủ trương lớn của Đảng, Nhà nước về việc thay đổi sách giáo khoa, trong
Sách - Hướng Dẫn Nói Và Viết Văn Biểu Cảm - Tự Sự - Thuyết Minh Lớp 7 - HA Trong chương trình Giáo dục phổ thông tổng thể 2018, ở môn Ngữ văn lớp
Sách được bố cục theo từng đơn vị bài học, tương ứng với từng Unit trong sách giáo khoa Tiếng Anh 8. Mỗi đơn vị bài học gồm: Từ vựng (Vocabulary): tổng hợp tất cả

Tác giả : Kiều Bắc - Nguyễn Quốc Khánh - Nguyễn Thị Hoa - Nhà xuất bản : Đại Học Quốc Gia Hà Nội - Kích thước : 17 x 24 cm - Số trang
Để đáp ứng yêu cầu đổi mới cách đánh giá học sinh trong môn Ngữ văn cấp THCS - Chương trình GDPT 2018 (tránh dùng lại các văn bản đã học trong sách giáo khoa
Hướng Dẫn Học Và Làm Bài Ngữ Văn 7 - Tập 1 (Bám Sát SGK Kết Nối Tri Thức Với Cuộc Sống) Trong giai đoạn đầu thực hiện chủ trương đổi mới chương trình sách
Sách mới gộp thành 1 cuốn: Nhà xuất bản : NXB Đại học Quốc gia Hà Nội Tác giả : Nguyễn Đức Tấn, Nguyễn Đoàn Vũ, Nguyễn Bình Dương
Bài Tập Phát Triển Năng Lực Ngữ Văn 7 - Tập 1 (KN) Từ năm học 2021-2022, chương trình và sách giáo khoa Ngữ văn Trung học cơ sở mới được triển khai dạy và
Đề Thi Tuyển Sinh Vào Lớp 10 Môn Tiếng Anh (Có Đáp Án) Tác giả: Trịnh Thanh Thủy Công ty phát hành: Zenbooks Nhà xuất bản: Thế giới Năm xuất bản: 2025 Giới thiệu về sách Đề Thi Tuyển Sinh Vào Lớp 10 Môn Tiếng Anh Đề Thi Tuyển Sinh Vào Lớp 10 Môn Tiếng Anh (Có Đáp Án) là tài liệu ôn luyện lý tưởng cho học sinh lớp 9 trong giai đoạn nước rút trước kỳ thi vào lớp 10. Cuốn sách tổng hợp các đề thi bám sát cấu trúc chính thức, giúp học sinh làm quen với dạng đề, nâng cao kỹ năng và tự tin bước vào kỳ thi quan trọng này. Nội dung nổi bật của sách - 28 đề thi cập nhật: Bao gồm 10 đề theo cấu trúc TP.HCM, 10 đề theo cấu trúc Hà Nội, và 8 đề thi thực tế từ 2020–2024. - Kiểm tra toàn diện: Đánh giá 5 kỹ năng: Ngữ âm, Từ vựng – Ngữ pháp, Đọc hiểu, Viết lại câu, và Viết luận (tự luận và trắc nghiệm). - Đáp án chi tiết: Hỗ trợ tự học, kiểm tra và đánh giá năng lực bản thân. - Phân chia theo vùng miền: Đáp ứng đặc thù đề thi của Hà Nội và TP.HCM, sát với thực tế. Điểm khác biệt của sách - Cập nhật mới nhất 2025: Phản ánh chính xác cấu trúc và xu hướng đề thi hiện tại. - Thực tiễn cao: Đề thi thực tế từ 2020–2024 giúp học sinh làm quen với áp lực thi thật. - Dễ sử dụng: Phù hợp cho tự học hoặc học cùng giáo viên/gia sư, với đáp án rõ ràng. - Uy tín biên soạn: Được đội ngũ giáo viên giàu kinh nghiệm của Zenbooks xây dựng cẩn thận. Đối tượng phù hợp Cuốn sách dành cho: - Học sinh lớp 9 ôn thi vào lớp 10, muốn nâng cao kỹ năng tiếng Anh. - Phụ huynh hỗ trợ con em ôn luyện hiệu quả cho kỳ thi quan trọng. -
Sách - Hướng dẫn ôn thi tốt nghiệp THPT môn Tin học năm học 2024-2025 (Bộ GD&ĐT công bố ngày 18/10/2024) - NXB Giáo Dục (BÁM SÁT CẤU TRÚC VÀ NỘI DUNG ĐỀ THI MINH
Mục lục: Phần 1: Hóa đại cương Chủ đề 1: Nguyên tử Chủ đề 2: Bảng tuần hoàn các nguyên tố hóa học và định luật tuần hoàn Chủ đề 3: Liên kết hóa học
Combo Bài Tập Em Học Toán Lớp 7 (Dùng Chung Cho Các Bộ SGK Mới Hiện Hành) (Bộ 2 Cuốn) Bộ sách gồm có: Bài Tập Em Học Toán Lớp 7 - Tập
Nhằm đáp ứng nhu cầu tự luyện tập, củng cố kiến thức và nâng cao kĩ năng học toán, chúng tôi trân trọng giới thiệu cùng bạn đọc cuốn sách Rèn kĩ năng học tốt

Sách - bài tập nâng cao vật lí 9 bồi dưỡng học sinh giỏi (dùng chung cho các bộ sgk hiện hành) + ha Nhằm giúp học sinh nắm vững các kiến thức trọng
Cuốn sách bài tập này dùng kèm với cuốn Em học Toán 9 (do đó trong sách có dùng kí hiệu SGK khi nói về cuốn sách trên), nhằm giúp các em có thêm bài
👁️ 21 | ⌚2025-09-22 06:00:02.684

MỘT NỀN LUÂN LÝ CỦA LÒNG THƯƠNG XÓT - Trên ngả đường tìm kiếm ý nghĩa và cuộc sống tình yêu tròn đầy

Đồ Chơi HD xin phép được gửi lời chào thân yêu nhất đến Quý khách đã tin tưởng và lựa chọn các sản phẩm, dịch vụ của Shop ạ. ------------------------- Nói KHÔNG với TV, LAPTOP,
Công ty Học Liệu Sư Phạm giới thiệu: Tác giả : Nhiều tác giả Nhà xuất bản: Nhà Xuất Bản Giáo Dục Việt Nam Ngày xuất bản: 2025 Số trang: 276 Kích thước: 19 x
Tác giả: Tony Buổi Sáng Khổ sách: 13x20.5cm Số trang: 268 Giá bán: 90,000 VNĐ NXB:NXB Trẻ NPH: NXB Trẻ In lần thứ 10 năm 2019 Giới thiệu tóm tắt tác phẩm: Tập bài viết

Con người cần có lề luật. Nhưng mối tương quan giữa con người và lề luật luôn căng thẳng. Không phải chỉ trong xã hội dân sự mà cả trong cộng đồng tôn giáo. Căng
Pháp Phật trong cuộc sống Những bài viết về Pháp Phật trong cuộc sống với việc trải lòng từ bi, nhẫn nhưng không nhục,cảm ơn nghịch cảnh, đời sống có ý nghĩa,, kiêu căng mất phước, nguồn
Con người đã làm môi trường sống của nhiều loài sinh vật thu hẹp hay biến mất, dẫn tới tuyệt chủng của nhiều loài động và thực vật. Những loài sinh học đặc hữu mà
Dành cho lứa tuổi 4+ 1. Chuyên gia từ vựng - Có gì trong thành phố Cuốn sách đang yêu này sẽ cho các bạn biết điều gì đang xảy ra trong một thành phố
Hành Trình Khám Phá - Thực Vật Với những bức ảnh sinh động cùng hình minh họa ba chiều chân thực, bộ sách Hành trình khám phá sẽ giúp bạn khai phá nhiều bí ẩn
Hành Trình Khám Phá - Động Vật Với những bức ảnh sinh động cùng hình minh họa ba chiều chân thực, bộ sách Hành trình khám phá sẽ giúp bạn khai phá nhiều bí ẩn
Giới thiệu tóm tắt tác phẩm: Kinh tế học không chỉ bó hẹp trong giảng đường hay ngân hàng. Môn khoa học này tồn tại ở khắp mọi nơi và ảnh hưởng tới mọi thứ
Đây là cuốn sách duy nhất tại Việt nam mô tả đầy đủ nhất về CR7, không những chỉ là ở góc độ chuyên môn, mà còn là ở khía cạnh đời thực từ ngày
CRISTIANO RONALDO – ALL ABOUT HIM Từ cậu bé nghèo ở Madeira đến huyền thoại bóng đá thế giới! Cristiano Ronaldo không chỉ là một cầu thủ, anh là một hiện tượng bóng đá, một
Cuộc sống luôn ở phía trước, con người vốn bận rộn, ít khi nhìn lại mình và thường đổ lỗi cho việc không có thời gian để nhìn lại mình. Đến một ngày, sao thấy
The Little Book Of World Religion - Những Tôn Giáo Trên Thế Giới - Ross Dickinson - (bìa mềm) - Giá bìa: 105.000đ I. GIỚI THIỆU SÁCH Ross Dickinson Là tác giả, biên tập viên
Thông tin sản phẩm: Tên sách: Nghệ thuật kể chuyện cho trẻ em Tác giả: Silke Rose West, Joseph Sarosy Công ty phát hành: Tân Việt Nhà xuất bản: Dân Trí Ngôn ngữ: Tiếng Việt
Mã hàng 8935210228888 Tên Nhà Cung Cấp Tân Việt Tác giả Hans Christian Andersen NXB NXB Văn Học Năm XB 2018 Trọng lượng (gr) 500 Kích Thước Bao Bì 14 x 20.5 cm Số trang
Tên Nhà Cung CấptTân Việt Tác giảtThiên Phúc NXBtNXB Dân Trí Năm XBt2018 Trọng lượng (gr)t400 Kích Thước Bao Bìt16 x 24 Số trangt389 Hình thứctBìa Mềm MÔ TẢ SẢN PHẨM: Nâng Cao Kỹ Năng
Cuốn sách "Khủng hoảng nợ công ở một số nước Liên minh châu Âu và bài học kinh nghiệm cho Việt Nam" là một công trình nghiên cứu chuyên khảo, tập trung phân tích nguyên
Đọc Vị Bất Kỳ Ai - Áp Dụng Trong Doanh Nghiệp Phần lớn các cuốn sách kinh doanh – dù nói về quản lý, lãnh đạo, phát triển cá nhân hay dịch vụ khách hàng
Tăng Sự Bách Giảng - Quy Chế Tùng Lâm Cuốn sách gồm những nội dung chính như sau: Bài 1: Phân biệt tùng lâm Bài 2: Tùng lâm ở Trung Quốc Bài 3: Bố cục