✨ 100 Đề Kiểm Tra Toán 7 _KV















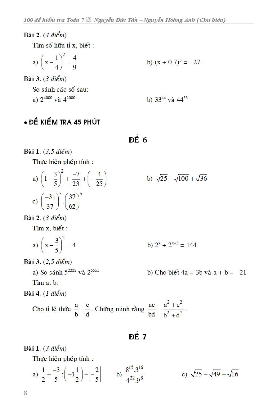
Cuốn sách "100 đề kiểm tra toán 7" là phiên bản mới nhất được tác giả Nguyễn Đức Tấn cùng 5 tác giả khác biên soạn với những nội dung mới nhất được cập nhật bám sát vào chương trình học của học sinh lớp 7. Cuốn sách đưa ra những dạng đề thi kiểm tra 15 phút, 45 phút, kiểm tra học kỳ 1, kiểm tra học kỳ 2 để giúp các thầy cô giáo, các bậc phụ huynh, các em học sinh có tài liệu ôn luyện, tự kiểm tra và đánh giá kiến thức cho các em học sinh. Bên cạnh đó nội dung cuốn sách còn được chia thành 3 phần:
- Phần một: Đề kiểm tra và hướng dẫn giải
- Phần hai: Đề kiểm tra ở một vài địa phương
- Phần ba: Đề kiểm tra học sinh giỏi Toán
- Các đề Toán ôn luyện




1. Phương Pháp Tư Duy Tìm Cách Giải Toán Lớp 6. Bộ sách được biên soạn theo từng chương, từng mục của sách giáo khoa hiện hành giúp học sinh củng cố các kiến thức
SÁCH - sách tham khảo hoá học 12 (dùng chung cho các bộ sgk hiện hành) Năm học 2023 – 2024 các em đã tiếp cận với Chương trình giáo dục phổ thông mới trong
Combo Định Hướng Phát Triển Năng Lực Toán 8 - Tập 1 + 2 (Bám Sát SGK Kết Nối Tri Thức Với Cuộc Sống) (Bộ 2 Cuốn) 1. Định Hướng Phát Triển Năng Lực Toán
Theo xu hướng tự chủ, hiện nay các trường đại học, học viện trong cả nước sử dụng nhiều phương thức tuyển sinh khác nhau, trong đó đặc biệt ưu tiên sử dụng kết quả
Cấu trúc cụ thể của cuốn sách Bộ để kiểm tra, đánh giá Toán 9 như sau: PHẦN 1. ĐỀ KIỂM TRA, ĐÁNH GIÁ Để kiểm tra giữa học kì ! Để
Cấu trúc cụ thể của cuốn sách Bộ để kiểm tra, đánh giá Toán 9 như sau: PHẦN 1. ĐỀ KIỂM TRA, ĐÁNH GIÁ Để kiểm tra giữa học kì ! Để
Combo Khám Phá Khoa Học Tự Nhiên 7 + Tuyển Tập Đề Kiểm Tra Định Kì Khoa Học Tự Nhiên Lớp 7 (Biên Soạn Theo Chương Trình GDPT Mới) (Bộ 2 Cuốn) 1. Khám
Theo xu hướng tự chủ, hiện nay các trường đại học, học viện trong cả nước sử dụng nhiều phương thức tuyển sinh khác nhau, trong đó đặc biệt ưu tiên sử dụng kết quả
Kì thi Đánh giá tư duy năng lực của các trường đại học lớn như: Đại học Quốc gia Hà Nội (HSA), Đại học Quốc gia Thành phố Hồ Chí Minh (APT), Trường Đại học
Nhà xuất bản: NXB Dân Trí Tác giả: Nhiều Tác Giả Loại bìa: Bìa Mềm Số trang: 239 Năm xuất bản: 2023 Nhà phát hành : Sách Nhân Dân =================================== Bộ 30 Đề
Nhà xuất bản: NXB Dân Trí Tác giả: Nhiều Tác Giả Loại bìa: Bìa Mềm S ố trang: 239 Năm xuất bản: 2023 Nhà phát hành : Hồng ân =================================== Bộ 30 Đề Thi Thử
Năm học 2022-2023 là năm học đầu tiên áp dụng giảng dạy môn Khoa học tự nhiên 6 theo chương trình giáo dục phổ thông 2018. Đây là môn học tích hợp các lĩnh vực
Bộ 30 Đề Thi Thử Học Sinh Giỏi Khoa Học Tự Nhiên 6 (Theo Chương Trình Giáo Dục Phổ Thông Mới) Năm học 2022-2023 là năm học đầu tiên áp dụng giảng dạy môn Khoa

ương Pháp Giải Toán Chuyên Đề Hình Học Lớp 10 (Biên Soạn Theo Chương Trình GDPT Mới): Tác giả: Nguyễn Văn Nho - Lê Bảy Nhà phát hành : Nhà Xuất Bản Đại Học Quốc
Công ty phát hành: Nhà sách Hồng Ân Năm Xuất Bản: 2024 Tác Giả: Hoàng Thị Thúy Hương, Quách Văn Long, Nguyễn Xuân Trường Số Trang: 394 Nhà xuất bản: Đại Học Quốc Gia Hà
Sách - Bài giảng và lời giải chi tiết Tiếng Anh 12 (theo chương trình Friends Global) Cuốn sách “Bài giảng và lời giải chi tiết Tiếng Anh 12 – Friends Global” được biên soạn
Sách - Hướng dẫn giải chi tiết đề luyện thi tốt nghiệp THPT môn tiếng anh theo cấu trúc đề thi 2025 - HA Các em học sinh lớp 12 thân mến! Chúng tôi biên
Công ty phát hành: Nhà sách Hồng Ân Năm Xuất Bản: 2024 Tác Giả: Hoàng Thị Thúy Hương, Quách Văn Long, Nguyễn Xuân Trường Số Trang: 396 Nhà xuất bản: Đại Học Quốc Gia Hà
Mô Tả Sản Phẩm. Bộ sách hướng dẫn ôn tập kỳ thi vào lớp 10 của THPT Chuyên Ngoại ngữ. + Được các giáo viên đang giảng dạy tại THPT Chuyên Ngoại ngữ trực tiếp
combo Hướng dẫn học và làm bài làm văn Ngữ Văn 8 gồm Hướng dẫn học và làm bài làm văn Ngữ Văn 8 tập 1 Hướng dẫn học và làm bài làm văn Ngữ
Hướng dẫn học và làm bài làm văn Ngữ Văn 8 Để giúp các em có thể học và nắm chắc nội dung kiến thức bộ môn ngữ văn ở cấp THCS, chúng tôi biên
Combo: Bộ sách Ôn luyện cơ bản và nâng cao Toán 9 Tập 1 +T2 (Bám sát chương trình SGK Kết nối tri thức với cuộc sống) Tác giả Nhiều tác giả Nhà xuất bản
Nhà xuất bản : Đại Học Sư Phạm Tác Giả : Nguyễn Đức Tấn Năm xuất bản : 2022 Trang : 200 nhà phát hành : Nhà sách hồng ân NỘI DUNG Định hướng
Nhà xuất bản : Đại Học Sư Phạm Tác Giả : Nguyễn Đức Tấn Năm xuất bản : 2022 Trang : 200 nhà phát hành : Nhà sách hồng ân NỘI DUNG Định hướng
combo hướng dẫn học và phương pháp giải toán 8 - tập 1 + 2 (bám sát sgk chân trời sáng tạo) (bộ 2 cuốn) Combo Hướng Dẫn Học & Phương Pháp Giải Toán Lớp
Sách - Các dạng nghị luận xã hội ngữ văn 9 (dành cho học sinh lớp 9 vào lớp 10 theo cấu trúc đề thi năm 2025) - HA Quý thầy cô và các em
1. Bồi Dưỡng Học Sinh Giỏi Sinh Học 10 - TÁI BẢN MỚI Cuốn sách được viết bám sát chương trình Sinh học lớp 10 phổ thông và chương trình sinh học lớp 10. Cuốn
Sách - Các dạng nghị luận xã hội ngữ văn 9 (dành cho học sinh lớp 9 vào lớp 10 theo cấu trúc đề thi năm 2025) - HA Quý thầy cô và các em
Sách - Các dạng nghị luận xã hội ngữ văn 9 (dành cho học sinh lớp 9 vào lớp 10 theo cấu trúc đề thi năm 2025) - HA Quý thầy cô và các em
CAM KẾT VÀ BẢO HÀNH - Đảm bảo và cam kết sản phẩm đúng với mô tả và hình ảnh của shop. - Đổi trả sản phẩm miễn phí trong vòng 7 ngày nếu sản
Sách - Combo Hướng Dẫn Học Ngữ Văn Lớp 7 Tập 1 + Tập 2 ( Dùng Kèm Sách Giáo Khoa Chân Trời Sáng Tạo ) gồm : Hướng Dẫn Học Ngữ Văn 7- Tập 1
Sách - Sách tham khảo lí 12 theo chương trình mới (dùng chung các bộ sgk hiện hành) + ha Tiếp theo cuốn Sách tham khảo VẬT LÍ 10, 11, với tinh thần giúp đỡ
1.Bồi Dưỡng Học Sinh Giỏi Hóa Học 8 Theo Chuyên Đề (Dùng Chung Cho Các Bộ SGK Hiện Hành) Cuốn sách Các Chuyên Đề Bồi Dưỡng Học Sinh Giỏi Hóa Học 8 giúp các em
1.Bồi Dưỡng Học Sinh Giỏi Hóa Học 8 Theo Chuyên Đề (Dùng Chung Cho Các Bộ SGK Hiện Hành) Cuốn sách Các Chuyên Đề Bồi Dưỡng Học Sinh Giỏi Hóa Học 8 giúp các em
Sách - Tư Liệu Dạy Học Lịch Sử + Địa Lí Lớp 9 (Dùng Chung Cho Các Bộ SGK Hiện Hành) - HA Nhằm cung cấp cho giáo viên và học sinh các tư liệu
Sách - Tư Liệu Dạy Học Lịch Sử + Địa Lí Lớp 9 (Dùng Chung Cho Các Bộ SGK Hiện Hành) - HA Nhằm cung cấp cho giáo viên và học sinh các tư liệu
Sách - Combo Tư Liệu Dạy - Học: Lịch Sử 9 + Địa Lí 9 (Dùng Chung Cho Các Bộ SGK Hiện Hành) - HA Combo Tư Liệu Dạy - Học: Lịch Sử 9 +
1.Bồi Dưỡng Học Sinh Giỏi Hóa Học 8 Theo Chuyên Đề (Dùng Chung Cho Các Bộ SGK Hiện Hành) Cuốn sách Các Chuyên Đề Bồi Dưỡng Học Sinh Giỏi Hóa Học 8 giúp các em
Tác giả: Nhiều tác giả Nhà xuất bản: NXB Giáo dục Việt Nam Năm xuất bản: 2023 Số trang: 116/ cuốn Khổ: 20x28 cm Hình thức: Bìa mềm Giới
Cấu trúc cụ thể của cuốn sách Bộ để kiểm tra, đánh giá như sau: PHẦN 1. ĐỀ KIỂM TRA, ĐÁNH GIÁ Để kiểm tra giữa học kì ! Để kiểm tra
Cấu trúc cụ thể của cuốn sách Bộ đề kiểm tra, đánh giá Toán 6 như sau: PHẦN 1. ĐỀ KIỂM TRA, ĐÁNH GIÁ Đề kiểm tra giữa học kì l Đề
Combo Hướng Dẫn Học Và Giải Các Dạng Bài Tập Toán 8 Tập 1 + 2 (Bám Sát SGK Kết Nối Tri Thức Với Cuộc Sống) (Bộ 2 Cuốn) 1. Hướng Dẫn Học Và Giải
Sách - Bồi dưỡng ngữ văn 9 (bám sát sgk kết nối tri thức với cuộc sống) - HA3 Quý thầy cô cùng các em học sinh thân mến! Để giúp quý thầy cô cùng
Gồm 2 cuốn : Củng cố và Ôn luyện Toán 7 - Tập 1 Củng cố và Ôn luyện Toán 7 - Tập 2 Củng cố và Ôn luyện Toán 7 - Tập 1 Nội
Bồi Dưỡng Ngữ Văn Lớp 9 - Bám Sát SGK: Kết Nối Tri Thức Với Cuộc Sống Quý thầy cô cùng các em học sinh thân mến! Để giúp quý thầy cô cùng các em
Năm Xuất Bản 2023 Tác Giả Nguyễn Quốc Khánh, Kiều Bắc, Nguyễn Thị Hoa Kích Thước 17 x 24 cm Nhà Xuất bản Đại Học Quốc Gia Hà Nội Số Trang 208 Bìa Mềm Đồng
Chi Tiết Sản Phẩm Nhà phát hành Ns Nhân Dân Tác giả Hoàng Thị Lâm Nho NXB Thanh Niên Năm Xuất Bản 2024 Số trang 152 ====================== CAM KẾT VÀ BẢO HÀNH
Nhằm giúp học sinh tự ôn luyện, kiểm tra đánh giá kiến thức sau mỗi bài học, mỗi chương phù hợp với chương trình mới; đồng thời giúp quý thầy cô giáo, quý phụ huynh
NXB Dân Trí Tác giả Nhiều tác giả Năm XB 2025 khổ 20.5x28.5 Số trang: 144 trang Hệ thống bài tập theo cấp độ từ cơ bản tới nâng cao giúp học sinh
Cuốn sách có nội dung bám sát bộ sách giáo khoa “Cánh diều” của Nhà xuất bản Đại học Sư phạm. Ngoài ra quý phụ huynh có thể sử dụng cuốn sách làm tài liệu
Cuốn sách có nội dung bám sát bộ sách giáo khoa “Cánh diều” của Nhà xuất bản Đại học Sư phạm. Ngoài ra quý phụ huynh có thể sử dụng cuốn sách làm tài liệu
Sách - Hướng dẫn học và làm bài Ngữ Văn 6, 7, 8,9 (Kết nối tri thức với cuộc sống) HA GỒM : 1. (Combo 2 Tập) Hướng Dẫn Học Và Làm Bài Ngữ Văn
Sách - Hướng dẫn học và làm bài Ngữ Văn 6, 7, 8,9 (Kết nối tri thức với cuộc sống) HA GỒM : 1. (Combo 2 Tập) Hướng Dẫn Học Và Làm Bài Ngữ Văn
============= Giới Thiệu Sách ============ GLOBAL SUCCESS - Bài tập trắc nghiệm tiếng anh lớp 8 (có đáp án) Bộ sách “BÀI TẬP TRẮC NGHIỆM TIẾNG ANH LỚP 8" được ra đời với mục
Mô Tả Sản Phẩm Khoa học tự nhiên luôn đổi mới để đáp ứng yêu cầu của cuộc sống hiện đại. Do vậy, giáo dục phổ thông phải liên tục cập nhật những thành
Cuốn sách tham khảo Ôn luyện cơ bản và nâng cao Toán 8 (Bám sát SGK Kết Nối) là cuốn sách do nhiều tác giả biên soạn. Thông qua các chuyên đề và bài tập
Sách Bài Tập Bổ Trợ Toàn Diện Tiếng Anh 9 từ ABBOOKS là tài liệu học tập chất lượng, được biên soạn dành riêng cho học sinh lớp 9, giúp các em củng cố kiến thức, rèn luyện
Bản đọc thử: Thông tin chi tiết: Nhà xuất bản Đại học Quốc gia Hà Nội Nhà phát hành: Sách Nhân Dân Tác giả: nhiều tác giả Số trang: 160 Năm xuất bản: 2023
Mô tả sản Phẩm Bộ lắp ghép lớp 4 và 5 Thương hiệu: đông á/ nhật hoa minh Xuất xứ: Việt nam Sử dụng trong môn Kỹ Thuật lớp 4- lớp 5 Mô tả sản
Bài Tập Tiếng Anh Lớp 11 - Không Đáp Án (Theo Chương Trình Chân Trời Sáng Tạo) Chúng tôi biên soạn Bài tập Tiếng Anh 11 – Không đáp án theo Chương trình Giáo dục phổ thông
👁️ 74 | ⌚2025-09-30 18:30:04.605


ÁO KHOÁC THU ĐÔNG THỂ THAO NỮ DÁNG NGẮN - CHỐNG NẮNG, MÁT, NHẸ - Hàng QC Kiểu dáng: Dáng ngắn cá tính, cổ đứng, tay dài, có dây rút eo, khóa kéo Chất liệu:
¤ Đèn led siêu mỏng âm trần MPE sử dụng thích hợp trong chiếu sáng văn phòng nhà ở, khách sạn, chung cư, Bệnh viện, Trường học, Trung tâm Thương Mạ ¤ Với góc sáng
Nồi Lẩu 2 Ngăn và lẩu kèm hấp Misu Loui Nấu Lẩu Chua Cay Tiện Lợi - Công suất : 1600W - Đường kính nồi 34cm - Chiều sâu: 14cm + Nồi điện đa năng
Mơ Ước Lớn - Thì Đừng Hành Động Như Người Tầm Thường " Người không tầm thường là người có thể kiên trì làm cho tốt công việc cần làm mỗi ngày, cũng là người
Cuốn sách: Nội các Trần Trọng Kim - Bản chất, vai trò và vị trí lịch sử của GS.TS. Phạm Hồng Tung. Trong những lần xuất bản trước, cuốn sách đã được đông đảo bạn
Bạn Đang Nghịch Gì Với Đời Mình Cách thức bạn và tôi liên hệ với bộ não, với mọi người, với tiền bạc, công việc, tình dục, … tất cả những mối quan hệ
Người không tầm thường là người có thể kiên trì làm cho tốt công việc cần làm mỗi ngày, cũng là người có đủ dũng cảm đứng lên, đưa ra quyết định chính xác nhất
1.Tâm Lý Học Tính Cách Nối tiếp cuốn sách Best seller Tâm lý học hành vi, lần này Tủ sách Kiến thức về kỹ năng sống của Mintbooks xin giới thiệu tới bạn đọc cuốn
Combo Dám Ước Mơ Biết Thực Hiện + Ngày Xưa Có Một Con Bò (Bộ 2 Cuốn) Cuốn sách về của tác giả John C.Maxwell đưa ra 10 câu hỏi giúp bạn hiểu rõ và
Sách Combo 2 Quyển: Nhật Ký Thao Thức + Ho’oponopono: Sống Như Người Hawaii - Chấp Nhận, Biết Ơn Và Tha Thứ (Sách Kỹ Năng Sống/ Rèn Luyện Tư Duy/ Phát Triển Bản Thân) 1.Nhật
Công ty phát hành Nhã Nam Tác giả Pierce Brown Ngày xuất bản 07-2018 Kích thước 15 x 24 cm Nhà xuất bản Nhà Xuất Bản Hà Nội Loại bìa Bìa mềm Số trang 640
Được dịch sang 22 thứ tiếng, nằm trong danh sách “best seller” của cả New York Times và USATODAY,Tứ Đại Quyền Lực(The Four) khiến cả thế giới rúng động vì lượng sự thật nó hàm
1. TUYỂN TẬP NHỮNG CÂU CHUYỆN HAY NHẤT CỦA AESOP Công ty phát hành: - Tác giả: Nhiều tác giả Ngày xuất bản: 2021 Kích thước: 14.5 x 20.5 cm Nhà xuất bản: NXB Tổng
1.Tuổi 20 Quyết Định Hạnh Phúc Cả Đời Người Phụ Nữ Xuất bản lần đầu năm 2004, sau đó liên tục được tái bản và đứng đầu danh sách bán chạy, Tuổi 20 quyết định
Combo sách kỹ năng sống hay dành cho mọi người. Giúp người đọc tìm thấy hạnh phúc từ những điều bình thường nhất, giản đơn nhất của hiện tại, từ đó yêu đời hơn, lạc
Tác giả: Ioka Shun Dịch giả: Mai Khanh Nhà xuất bản: Hà Nội Số trang: 508 Kích thước: 14x20.5 cm Ngày phát hành: 01-2021 Một tai nạn thảm khốc đã cướp đi gia đình êm
Công ty phát hành Nhã Nam Tác giả Pierce Brown Ngày xuất bản 07-2018 Kích thước 15 x 24 cm Nhà xuất bản Nhà Xuất Bản Hà Nội Loại bìa Bìa mềm Số trang 640
Sách được biên soạn nhằm hỗ trợ sinh viên trong việc học tập và ôn luyện môn học về quản trị. Nội dung gồm 19 chương, mỗi chương chia thành hai phần: Phần tóm tắt:
Combo 2 Cuốn Sách: Khi Mọi Điểm Tựa Đều Mất + Đi Tìm Lẽ Sống ------------ 1. Khi Mọi Điểm Tựa Đều Mất Với Happy for No Reason - Khi mọi điểm tựa đều mất,
Hộp 50 Bút Lông Màu Rửa Được - Phiên Bản Mới Super Tips - Crayola 587507 - Bút lông có màu có thể tẩy rửa được, có màu sắc sinh động sẽ cho bé thỏa